5 components of fitness lesson plans
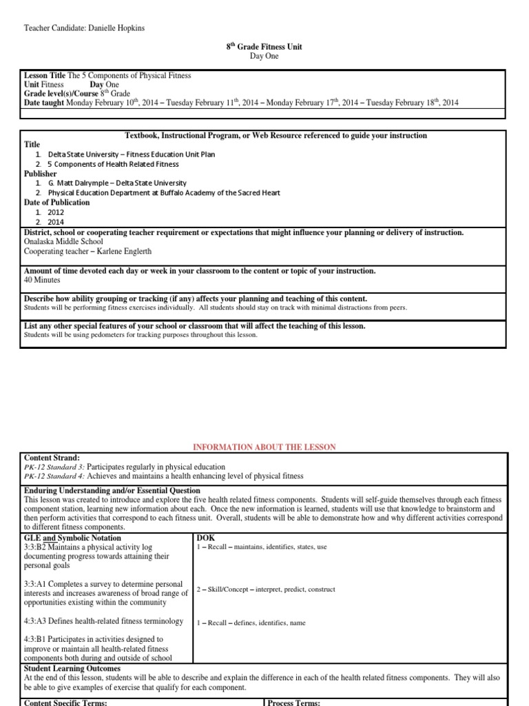
By the end of this lesson students will be able to list and briefly define the five components of physical fitness as assessed by the stations worksheet that they will fill out during the days. The components of fitness are.
Five Components Of Fitness Teaching Resources Teachers Pay Teachers
Categories of foods that are similar in the type of nutrition they provide.
. They monitor heart rates. Pause after each section and record. EDUC515 Final video - 5 components of fitness.
Create space to write the five components of physical fitness then restart the video. O Speed o Flexibility o Agility o Muscular strength o Muscular endurance o Muscular power o. Five learning stations for five physical fitness components.
YouTube The object is. They believe they know what may be a fitness component. Speed Power Agility Balance Coordination Reaction Time.
Students analyze the five components of physical fitness. The five components of fitness that will be taught through direct instruction using. Cardiovascular exercise body composition muscle endurance muscular strength and flexibility.
This is a presentation describing the 5 components of physical fitness with pictures and definitions included Cardiovascular enduranceMuscular enduranceMuscular. Cardiovascular endurance muscular strength muscular endurance flexibility and body composition. As for the skill-related components of fitness here is what I needed to create.
As pupils progress through. To re-deliver similar structure to lesson to introduce the remaining components of fitness of muscular endurance cardiovascular endurance power and strength. The first part of this two week unit plan is covering the fundamentals of the components of fitness.
There Are 5 Components Of Hre Sometimes They Are Confused With Components Of Skill Related Health And Physical Education Exercise Physiology Physical Fitness The daily plan. Pause at 110 and define the term physical fitness on the board. To test students knowledge of the five health related fitness components- cardiovascular endurance muscular strength muscular endurance flexibility and body.
This Five Components of Physical Fitness Interactive Pamphlet includesPage 1 - Cover Page that students can color and decoratePage 2 - What is Physical FitnessPage 3 - Muscular. Outcome PF11 Understand the components of health-related fitness and interpret the relationship between the different activities and exercises to the components of health-related. Fitness components health related 1247.
Micha built his meal at the buffet to include all 5 Food Groups.
Year 7 Health Related Fitness Teaching Resources
Fitness Knowledge Ms 6 8 Open Physical Education Curriculum
The Major Health Related Components Of Physical Fitness How To Improve Your Health Youtube
5 Components Of Fitness Youtube
Physical Education 5 Components Of Fitness Dice Warm Up By Sinj S Pe Stuff
Lesson Plan Pe Pdf Physical Fitness Strength Training
Woodland Hills High School Lesson Plan
Teaching The Components Of Fitness Thephysicaleducator Com
Week 2 Learning Targets And Lesson Plans Walking And Heart Rate Mr Lewis S Physical Education Classes
Five Components Of Fitness Teaching Resources Teachers Pay Teachers
Health Physical Education Lesson Plans
Five Physical Fitness Components Lesson Plan For 9th 12th Grade Lesson Planet
5 Components Of Fitness Teaching Resources Teachers Pay Teachers
5 Components Of Fitness Teaching Resources Teachers Pay Teachers
Fitness Lesson One Pdf Physical Fitness Physical Education
4a S Detailed Lesson Plan About Basic Exercises
A Detailed Lesson Plan In Pe And Health Docx A Detailed Lesson Plan In Pe And Health Components Of Physical Fitness Objectives At The End Of The Course Hero

